產品中心
相關產品
中藥標準品
|
產品編號 |
英文名稱 |
CAS號 |
包裝 |
|
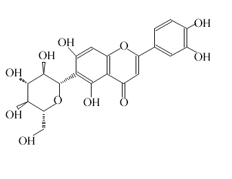
Y3648 |
Isoorientin |
4261-42-1 |
可根據客戶要求訂制 |
英文名稱:Isoorientin
CAS號:4261-42-1
分析標準品,≥98%
分子式 C21H20O11 分子量448.38

基本信息:
密度 1.759
熔點 245-246°C
描述
別名 異葒草苷;Homoorientin;Luteolin;6-C-β-D-glucoside Luteolin 6-C-glucoside
